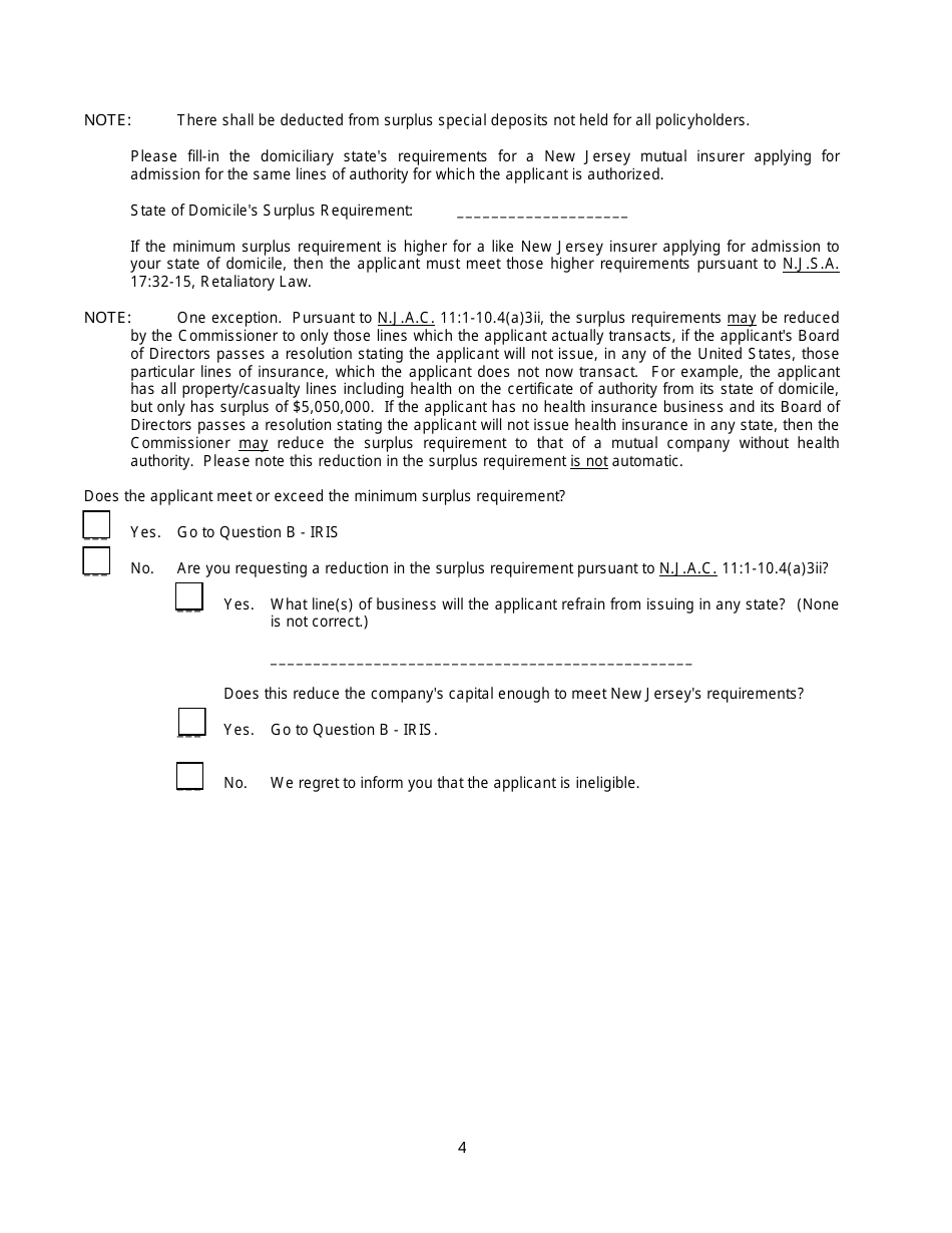
New Jersey Property Tax Reimbursement Eligibility Requirements . Find out if i am eligible. Web to qualify for the reimbursement, residents must meet all eligibility requirements each year they apply and continue to apply annually. Web with few exceptions, all income that you received during the year must be taken into account when determining. Web who can apply for the property tax reimbursement (senior freeze) program? Web the eligibility requirements for taxpayers applying to the program this year are: Web check your senior freeze (property tax reimbursement) status here. 31, 2022, or receive social security disability. Be age 65 or older on dec. Top senior freeze/ property tax. You are not eligible for a reimbursement on: Web if you moved to your current home between january 1, 2020, and december 31, 2021, and you applied and were eligible for a. This application will allow you to upload the.
from www.templateroller.com
Web with few exceptions, all income that you received during the year must be taken into account when determining. This application will allow you to upload the. 31, 2022, or receive social security disability. You are not eligible for a reimbursement on: Web check your senior freeze (property tax reimbursement) status here. Find out if i am eligible. Web if you moved to your current home between january 1, 2020, and december 31, 2021, and you applied and were eligible for a. Web to qualify for the reimbursement, residents must meet all eligibility requirements each year they apply and continue to apply annually. Be age 65 or older on dec. Web who can apply for the property tax reimbursement (senior freeze) program?
Download Instructions for Form PTR2 Senior Freeze (Property Tax
New Jersey Property Tax Reimbursement Eligibility Requirements 31, 2022, or receive social security disability. Web to qualify for the reimbursement, residents must meet all eligibility requirements each year they apply and continue to apply annually. Web with few exceptions, all income that you received during the year must be taken into account when determining. Top senior freeze/ property tax. This application will allow you to upload the. Web if you moved to your current home between january 1, 2020, and december 31, 2021, and you applied and were eligible for a. Web the eligibility requirements for taxpayers applying to the program this year are: 31, 2022, or receive social security disability. Find out if i am eligible. Be age 65 or older on dec. Web who can apply for the property tax reimbursement (senior freeze) program? You are not eligible for a reimbursement on: Web check your senior freeze (property tax reimbursement) status here.
From www.slideserve.com
PPT New Jersey Property Tax Relief Programs PowerPoint Presentation New Jersey Property Tax Reimbursement Eligibility Requirements Web check your senior freeze (property tax reimbursement) status here. Be age 65 or older on dec. Top senior freeze/ property tax. You are not eligible for a reimbursement on: Web if you moved to your current home between january 1, 2020, and december 31, 2021, and you applied and were eligible for a. This application will allow you to. New Jersey Property Tax Reimbursement Eligibility Requirements.
From www.templateroller.com
Download Instructions for Form PTR1 Senior Freeze (Property Tax New Jersey Property Tax Reimbursement Eligibility Requirements Web check your senior freeze (property tax reimbursement) status here. Web if you moved to your current home between january 1, 2020, and december 31, 2021, and you applied and were eligible for a. 31, 2022, or receive social security disability. Web to qualify for the reimbursement, residents must meet all eligibility requirements each year they apply and continue to. New Jersey Property Tax Reimbursement Eligibility Requirements.
From www.templateroller.com
Form PTR1 Download Fillable PDF or Fill Online Senior Freeze (Property New Jersey Property Tax Reimbursement Eligibility Requirements Web to qualify for the reimbursement, residents must meet all eligibility requirements each year they apply and continue to apply annually. Web if you moved to your current home between january 1, 2020, and december 31, 2021, and you applied and were eligible for a. You are not eligible for a reimbursement on: Web with few exceptions, all income that. New Jersey Property Tax Reimbursement Eligibility Requirements.
From www.signnow.com
New Jersey Property Tax Reimbursement Senior Ze Application Form PTR 1 New Jersey Property Tax Reimbursement Eligibility Requirements Be age 65 or older on dec. Web who can apply for the property tax reimbursement (senior freeze) program? Find out if i am eligible. Web with few exceptions, all income that you received during the year must be taken into account when determining. Top senior freeze/ property tax. Web to qualify for the reimbursement, residents must meet all eligibility. New Jersey Property Tax Reimbursement Eligibility Requirements.
From www.templateroller.com
Download Instructions for Form PTR2 Senior Freeze (Property Tax New Jersey Property Tax Reimbursement Eligibility Requirements Find out if i am eligible. Top senior freeze/ property tax. Web check your senior freeze (property tax reimbursement) status here. Web the eligibility requirements for taxpayers applying to the program this year are: Web to qualify for the reimbursement, residents must meet all eligibility requirements each year they apply and continue to apply annually. Web who can apply for. New Jersey Property Tax Reimbursement Eligibility Requirements.
From www.templateroller.com
New Jersey New Jersey General Eligibility Requirements Worksheet New Jersey Property Tax Reimbursement Eligibility Requirements Be age 65 or older on dec. Web check your senior freeze (property tax reimbursement) status here. Find out if i am eligible. Web if you moved to your current home between january 1, 2020, and december 31, 2021, and you applied and were eligible for a. 31, 2022, or receive social security disability. This application will allow you to. New Jersey Property Tax Reimbursement Eligibility Requirements.
From www.templateroller.com
Download Instructions for Form PTR1 Senior Freeze (Property Tax New Jersey Property Tax Reimbursement Eligibility Requirements 31, 2022, or receive social security disability. Web the eligibility requirements for taxpayers applying to the program this year are: Be age 65 or older on dec. Web who can apply for the property tax reimbursement (senior freeze) program? Web to qualify for the reimbursement, residents must meet all eligibility requirements each year they apply and continue to apply annually.. New Jersey Property Tax Reimbursement Eligibility Requirements.
From www.templateroller.com
Download Instructions for Form PTR1 Senior Freeze (Property Tax New Jersey Property Tax Reimbursement Eligibility Requirements 31, 2022, or receive social security disability. Web if you moved to your current home between january 1, 2020, and december 31, 2021, and you applied and were eligible for a. You are not eligible for a reimbursement on: Web check your senior freeze (property tax reimbursement) status here. Web to qualify for the reimbursement, residents must meet all eligibility. New Jersey Property Tax Reimbursement Eligibility Requirements.
From www.templateroller.com
Download Instructions for Form PTR2 Senior Freeze (Property Tax New Jersey Property Tax Reimbursement Eligibility Requirements Top senior freeze/ property tax. This application will allow you to upload the. Web if you moved to your current home between january 1, 2020, and december 31, 2021, and you applied and were eligible for a. Web the eligibility requirements for taxpayers applying to the program this year are: Web who can apply for the property tax reimbursement (senior. New Jersey Property Tax Reimbursement Eligibility Requirements.
From www.templateroller.com
New Jersey New Jersey General Eligibility Requirements Worksheet New Jersey Property Tax Reimbursement Eligibility Requirements 31, 2022, or receive social security disability. Web if you moved to your current home between january 1, 2020, and december 31, 2021, and you applied and were eligible for a. Web the eligibility requirements for taxpayers applying to the program this year are: Web check your senior freeze (property tax reimbursement) status here. This application will allow you to. New Jersey Property Tax Reimbursement Eligibility Requirements.
From www.templateroller.com
Download Instructions for Form PTR1 Senior Freeze (Property Tax New Jersey Property Tax Reimbursement Eligibility Requirements Web with few exceptions, all income that you received during the year must be taken into account when determining. Find out if i am eligible. Top senior freeze/ property tax. You are not eligible for a reimbursement on: Be age 65 or older on dec. Web check your senior freeze (property tax reimbursement) status here. Web who can apply for. New Jersey Property Tax Reimbursement Eligibility Requirements.
From www.pinterest.com
How to Fill Out a New Jersey Property Tax Reimbursement Form Property New Jersey Property Tax Reimbursement Eligibility Requirements Web with few exceptions, all income that you received during the year must be taken into account when determining. Web who can apply for the property tax reimbursement (senior freeze) program? Be age 65 or older on dec. Web to qualify for the reimbursement, residents must meet all eligibility requirements each year they apply and continue to apply annually. Top. New Jersey Property Tax Reimbursement Eligibility Requirements.
From www.templateroller.com
New Jersey New Jersey General Eligibility Requirements Worksheet New Jersey Property Tax Reimbursement Eligibility Requirements Web who can apply for the property tax reimbursement (senior freeze) program? This application will allow you to upload the. You are not eligible for a reimbursement on: Top senior freeze/ property tax. Web if you moved to your current home between january 1, 2020, and december 31, 2021, and you applied and were eligible for a. Web check your. New Jersey Property Tax Reimbursement Eligibility Requirements.
From patch.com
2023 NJ Property Tax Reimbursement Program Eligibility, How To Apply New Jersey Property Tax Reimbursement Eligibility Requirements You are not eligible for a reimbursement on: Web who can apply for the property tax reimbursement (senior freeze) program? Web to qualify for the reimbursement, residents must meet all eligibility requirements each year they apply and continue to apply annually. Be age 65 or older on dec. Find out if i am eligible. Web if you moved to your. New Jersey Property Tax Reimbursement Eligibility Requirements.
From www.templateroller.com
Download Instructions for Form PTR1 Senior Freeze (Property Tax New Jersey Property Tax Reimbursement Eligibility Requirements Top senior freeze/ property tax. Web the eligibility requirements for taxpayers applying to the program this year are: This application will allow you to upload the. Be age 65 or older on dec. You are not eligible for a reimbursement on: 31, 2022, or receive social security disability. Find out if i am eligible. Web check your senior freeze (property. New Jersey Property Tax Reimbursement Eligibility Requirements.
From www.templateroller.com
Download Instructions for Form PTR1 Senior Freeze (Property Tax New Jersey Property Tax Reimbursement Eligibility Requirements Web who can apply for the property tax reimbursement (senior freeze) program? You are not eligible for a reimbursement on: Web the eligibility requirements for taxpayers applying to the program this year are: Top senior freeze/ property tax. Be age 65 or older on dec. 31, 2022, or receive social security disability. Find out if i am eligible. Web to. New Jersey Property Tax Reimbursement Eligibility Requirements.
From www.slideserve.com
PPT New Jersey Property Tax Relief Programs PowerPoint Presentation New Jersey Property Tax Reimbursement Eligibility Requirements Web check your senior freeze (property tax reimbursement) status here. Web the eligibility requirements for taxpayers applying to the program this year are: Top senior freeze/ property tax. Web if you moved to your current home between january 1, 2020, and december 31, 2021, and you applied and were eligible for a. Find out if i am eligible. Web with. New Jersey Property Tax Reimbursement Eligibility Requirements.
From www.templateroller.com
Download Instructions for Form PTR1 Senior Freeze (Property Tax New Jersey Property Tax Reimbursement Eligibility Requirements This application will allow you to upload the. Web if you moved to your current home between january 1, 2020, and december 31, 2021, and you applied and were eligible for a. Find out if i am eligible. Be age 65 or older on dec. Web with few exceptions, all income that you received during the year must be taken. New Jersey Property Tax Reimbursement Eligibility Requirements.